திராவிட முன்னேற்றக் கழகம்
கடமை கண்ணியம் கட்டுப்பாடு
கழகம்
கொள்கைகள்
வரலாறு
தலைமை
மக்கள் பிரதிநிதிகள்
அணிகள்
சமூக பதிவுகள்
தலைமை
மு. க. ஸ்டாலின்
கலைஞர் கருணாநிதி
அறிஞர் அண்ணா
பெரியார்
சாதனைகள்
வெளியீடுகள்
முரசொலி
அறிக்கை
செய்திகள்
புகைப்படம்
காணொளி
நிகழ்ச்சிகள்
Nep-Tamil-2019
Nep-2019
தேர்தல் 2021
Candidates - 2021
Manifesto - 2021
Manifesto 2021 (EN)
Criminal Antecedents of Candidates - 2021
DMK DISTRICT WISE MANIFESTO - 2021
DMK Candidates Puducherry C7 - 2021
DMK Candidates C2 - 2021
Rajya Sabha DMK Candidate C7 - 2021
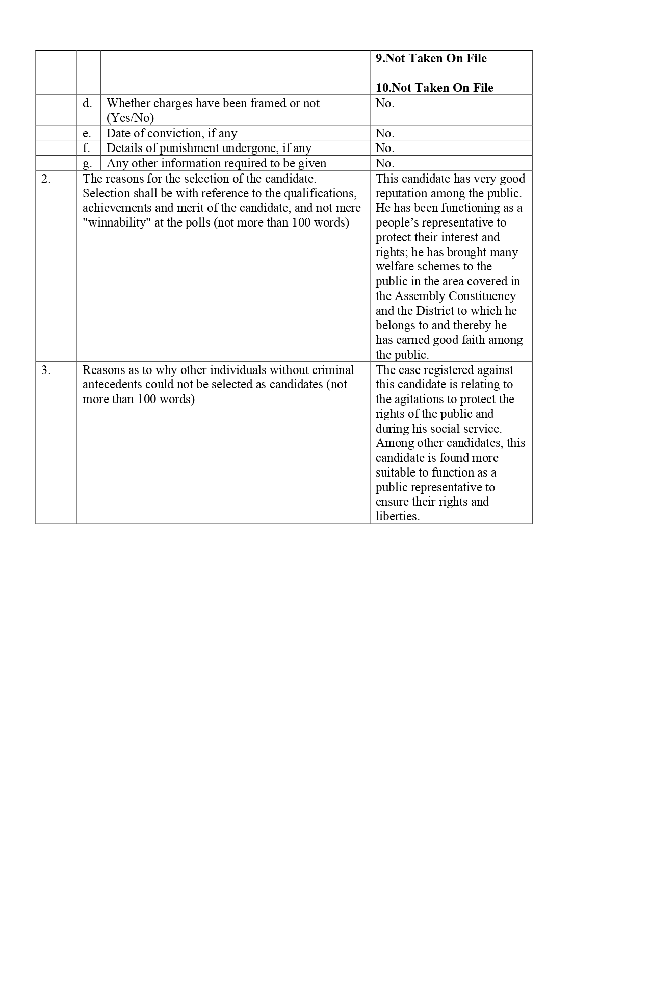
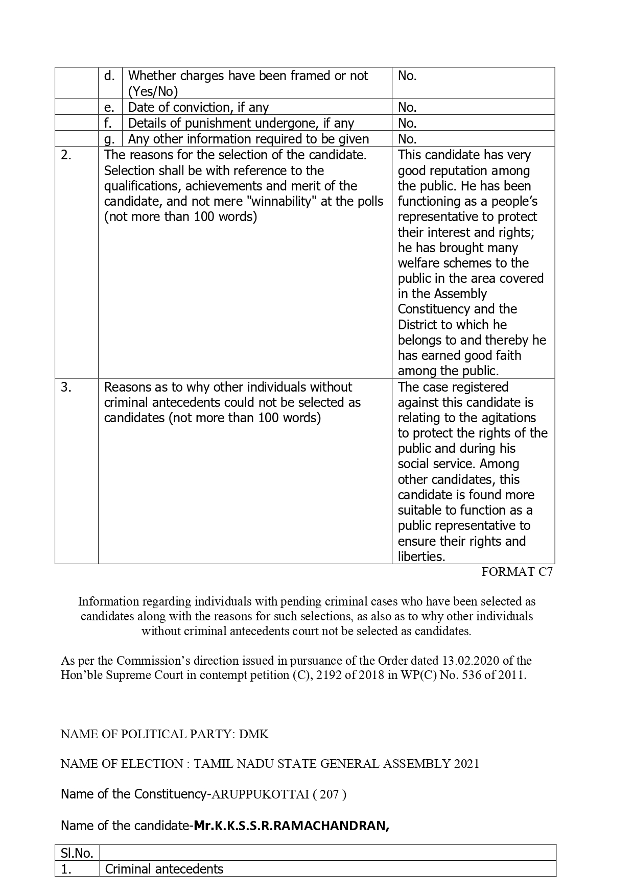
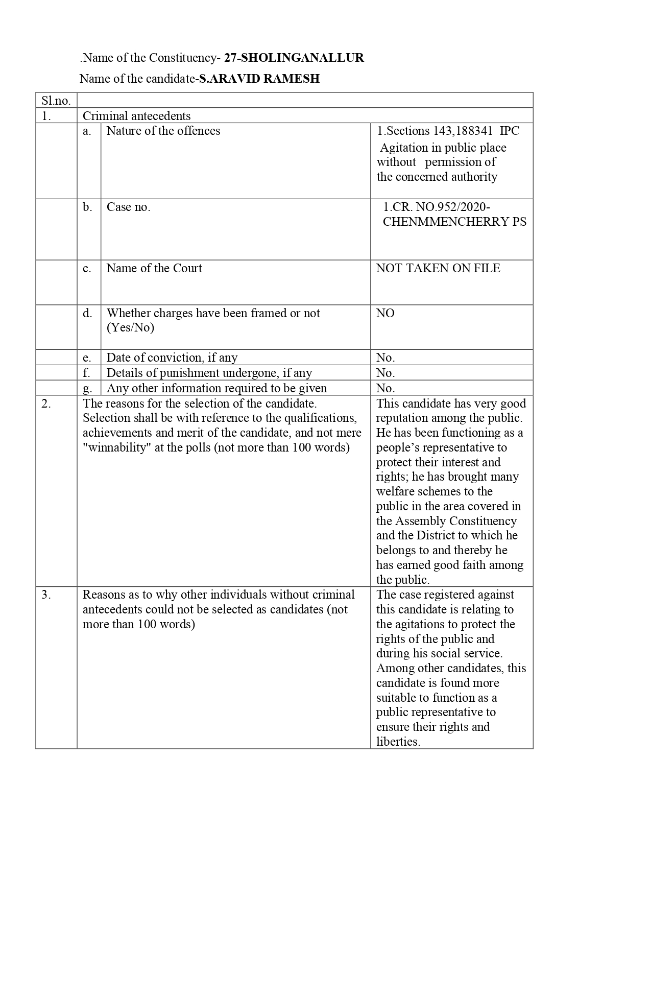
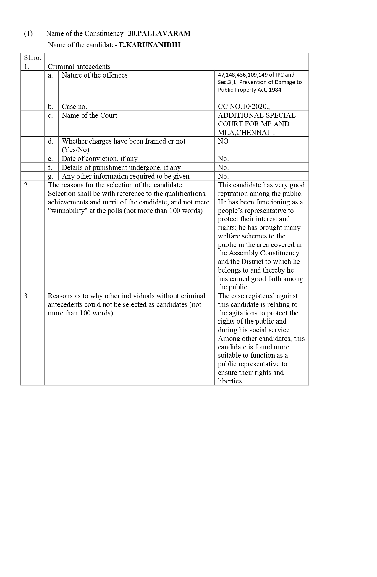
Criminal Antecedents of Candidates - 2021